When referring to the Spectral Atlas, please cite our publication:
Keller-Rudek, H., Moortgat, G. K., Sander, R., and Sörensen,
R.: The MPI-Mainz UV/VIS spectral atlas of gaseous molecules of
atmospheric interest, Earth Syst. Sci. Data, 5, 365–373, (2013),
DOI: 10.5194/essd-5-365-2013
|
Species:
| NAME: | 1,1,1,2-tetrafluoro-2-chloroethane (HCFC-124) |
| FORMULA: | CF3CHFCl(HCFC-124) |
|
CAS RN: | 2837-89-0 |
STRUCTURE
(FROM
NIST):
|
|
|
InChIKey: | BOUGCJDAQLKBQH-UHFFFAOYSA-N |
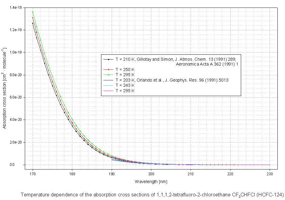
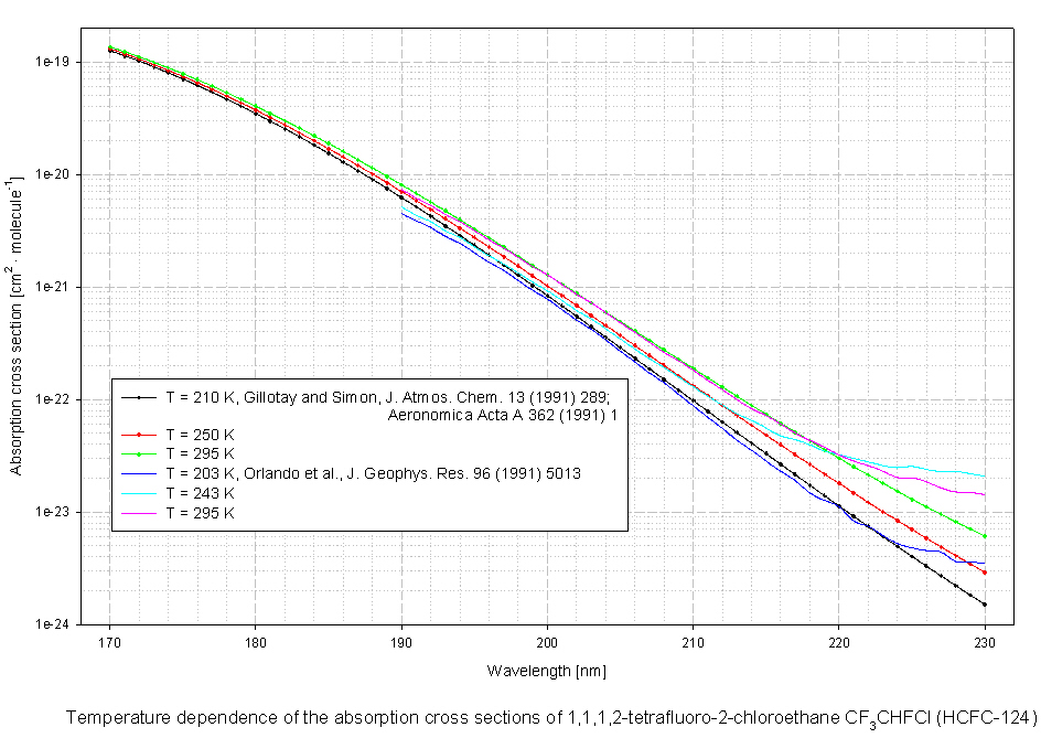
Graphical Representations:
Data Sets:
|
Formula |
Author(Year) |
T |
λ |
 |
CF3CHFCl(HCFC-124) |
GillotaySimon(1991) |
210K |
166-230nm(int-c) |
 |
CF3CHFCl(HCFC-124) |
GillotaySimon(1991) |
210K |
170-230nm(1nm) |
 |
CF3CHFCl(HCFC-124) |
GillotaySimon(1991) |
230K |
166-230nm(int-c) |
 |
CF3CHFCl(HCFC-124) |
GillotaySimon(1991) |
230K |
170-230nm(1nm) |
 |
CF3CHFCl(HCFC-124) |
GillotaySimon(1991) |
250K |
166-230nm(int-c) |
 |
CF3CHFCl(HCFC-124) |
GillotaySimon(1991) |
250K |
170-230nm(1nm) |
 |
CF3CHFCl(HCFC-124) |
GillotaySimon(1991) |
270K |
166-230nm(int-c) |
 |
CF3CHFCl(HCFC-124) |
GillotaySimon(1991) |
270K |
170-230nm(1nm) |
 |
CF3CHFCl(HCFC-124) |
GillotaySimon(1991) |
295K |
166-230nm(int-c) |
 |
CF3CHFCl(HCFC-124) |
GillotaySimon(1991) |
295K |
170-230nm(1nm) |
 |
CF3CHFCl(HCFC-124) |
IUPAC(2008) |
210K |
190-228nm(rec) |
 |
CF3CHFCl(HCFC-124) |
IUPAC(2008) |
298K |
190-228nm(rec) |
 |
CF3CHFCl(HCFC-124) |
JPL-2010(2011) |
295K |
170-230nm(rec) |
 |
CF3CHFCl(HCFC-124) |
JPL-97(1997) |
298K |
190-220nm(rec) |
 |
CF3CHFCl(HCFC-124) |
Orlando(1991) |
203K |
190-230nm |
 |
CF3CHFCl(HCFC-124) |
Orlando(1991) |
223K |
190-230nm |
 |
CF3CHFCl(HCFC-124) |
Orlando(1991) |
243K |
190-230nm |
 |
CF3CHFCl(HCFC-124) |
Orlando(1991) |
263K |
190-230nm |
 |
CF3CHFCl(HCFC-124) |
Orlando(1991) |
283K |
190-230nm |
 |
CF3CHFCl(HCFC-124) |
Orlando(1991) |
295K |
190-230nm |
|
Search cross sections
|