When referring to the Spectral Atlas, please cite our publication:
Keller-Rudek, H., Moortgat, G. K., Sander, R., and Sörensen,
R.: The MPI-Mainz UV/VIS spectral atlas of gaseous molecules of
atmospheric interest, Earth Syst. Sci. Data, 5, 365–373, (2013),
DOI: 10.5194/essd-5-365-2013
|
Species:
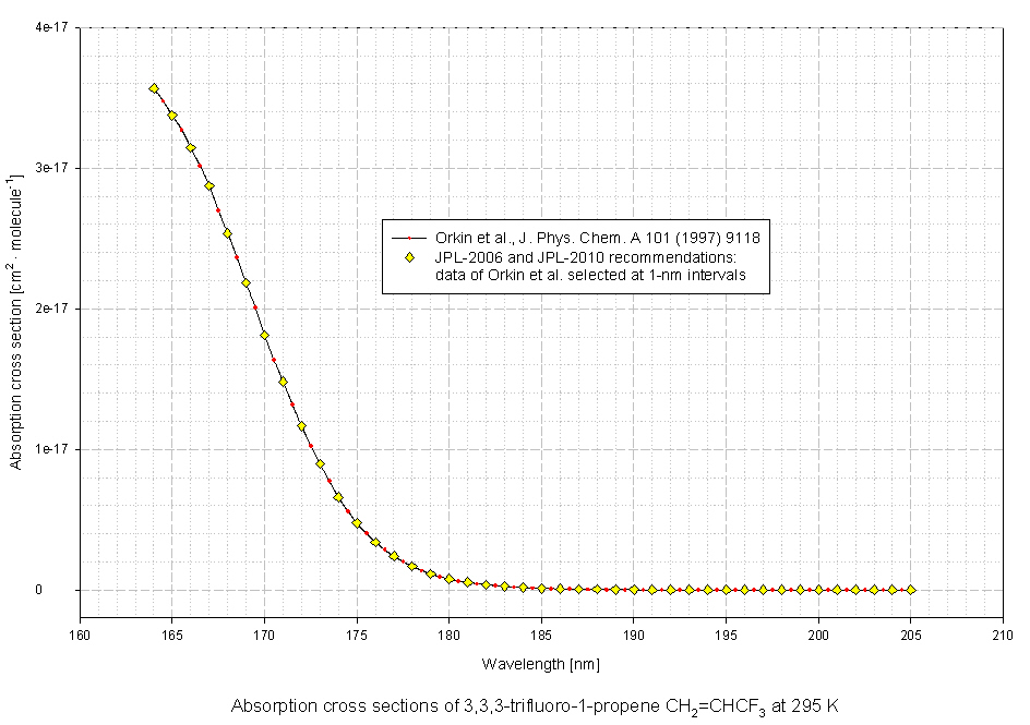
| NAME: | 3,3,3-trifluoro-1-propene |
| FORMULA: | CH2=CHCF3 |
|
CAS RN: | 677-21-4 |
STRUCTURE
(FROM
NIST):
|
|
|
InChIKey: | FDMFUZHCIRHGRG-UHFFFAOYSA-N |
Graphical Representations:
Data Sets:
|
Formula |
Author(Year) |
T |
λ |
 |
CH2=CHCF3 |
JPL-2010(2011) |
295K |
164-205nm(rec) |
 |
CH2=CHCF3 |
Orkin(1997) |
295K |
164-205nm |
|
Search cross sections
|